
The conversion of glucose to calcium gluconate primarily involves two core steps: oxidation of glucose to gluconic acid, followed by neutralization of gluconic acid with a calcium source. The oxidation of glucose to gluconic acid is the critical step, requiring specific oxidants or enzymatic catalysis to precisely oxidize the aldehyde group (-CHO) of the glucose molecule while preserving hydroxyl groups (-OH), ultimately forming a carboxyl group (-COOH). The subsequent neutralization reaction between gluconic acid and a calcium source (e.g., calcium carbonate, calcium hydroxide) is relatively straightforward, yielding calcium gluconate. A detailed breakdown of the molecular mechanisms and reaction pathways of the oxidation step clarifies the chemical nature of this conversion process.
I. Molecular Structure Basis of Glucose: The "Target" of Oxidation
Glucose is a six-carbon monosaccharide with the molecular structure HOCH₂(CHOH)₄CHO. Its core functional group involved in oxidation is the aldehyde group (-CHO, located at the C1 position), while the hydroxyl groups (-OH) at the C2–C5 positions remain stable under mild oxidation conditions. This structural feature is essential for forming gluconic acid (**HOCH₂(CHOH)₄COOH**).
The aldehyde group (-CHO) exhibits strong reducibility and is easily oxidized to a carboxyl group (-COOH) without breaking the molecular backbone or damaging other hydroxyl groups. This ensures the product is gluconic acid (rather than byproducts like glucaric acid).
Overly harsh oxidation conditions (e.g., strong oxidants, high temperatures) may further oxidize the hydroxymethyl group (-CH₂OH) at the C6 position, generating glucaric acid (HOOC(CHOH)₄COOH) — a deviation from the target product. Thus, "mild oxidation with precise targeting of the aldehyde group" is critical for successful reaction.
II. Core Step 1: Oxidation of Glucose to Gluconic Acid — Three Main Oxidation Mechanisms
The oxidation of glucose to gluconic acid can be categorized into three types based on the oxidant or catalyst used: chemical oxidation, enzymatic catalytic oxidation, and electrochemical oxidation. While their mechanisms differ, all achieve the conversion of "-CHO → -COOH" while preserving other hydroxyl groups in the molecule. (I) Chemical Oxidation Mechanism: Example with Aqueous Bromine (Br₂/H₂O)
Aqueous bromine is a mild oxidant used in laboratories and industry to specifically oxidize the aldehyde group of glucose under neutral or weakly acidic conditions. The reaction proceeds in two steps without byproduct formation:
1. Aldehyde oxidation to aldonic acid lactone
Glucose readily forms a cyclic hemiacetal in aqueous solution (via bonding between the C1 aldehyde group and C5 hydroxyl group). However, aqueous bromine disrupts this equilibrium: as an oxidant, Br₂ first attacks the oxygen atom of the hemiacetal, causing it to dissociate into linear glucose (recovering the aldehyde structure). The aldehyde group (-CHO) then reacts with water to form a geminal diol (-C(OH)₂H). Br₂ further oxidizes the α-hydrogen (hydrogen adjacent to the aldehyde group) of the geminal diol, stripping electrons and converting it to an aldonic acid lactone (e.g., gluconolactone).
2. Lactone hydrolysis to gluconic acid
The generated gluconolactone is unstable in aqueous solution and undergoes spontaneous hydrolysis (accelerated under weakly alkaline conditions) to open the lactone ring, forming stable gluconic acid.
The core advantage of this mechanism is that "Br₂ acts as an electron acceptor, oxidizing only the aldehyde group without affecting other hydroxyl groups." It operates under mild conditions (25–30°C, pH 5.0–6.0), making it suitable for small-scale preparation.
(II) Enzymatic Catalytic Oxidation Mechanism: Precise Catalysis by Glucose Oxidase (GOD)
For large-scale industrial production of gluconic acid, glucose oxidase (GOD, derived from *Aspergillus niger*) is preferred. This mechanism offers "high efficiency, specificity, and no pollution," making it the mainstream green production route. It relies on the specific binding between the enzyme’s active site and the glucose molecule:
1. Formation of enzyme-substrate complex
The active site of GOD contains a flavin adenine dinucleotide (FAD) cofactor. The aldehyde group (-CHO) of glucose binds to amino acid residues (e.g., histidine) in the enzyme’s active site via hydrogen bonds, forming a stable "GOD-glucose complex." This binding activates the aldehyde group, reducing its electron density and facilitating oxidation.
2. Electron transfer and product formation
Within the complex, the α-hydrogen of the glucose aldehyde group (-H in -CHO) transfers to FAD, reducing FAD to FADH₂. Concurrently, the glucose aldehyde group is oxidized to a carboxyl group (-COOH), generating gluconic acid. FADH₂ is then reoxidized to FAD by oxygen (O₂) (completing enzyme regeneration), with hydrogen peroxide (H₂O₂) as a byproduct. H₂O₂ is decomposed into H₂O and O₂ by catalase to prevent enzyme damage.
The key to this mechanism is "enzyme specificity" — it only recognizes the aldehyde group of glucose, leaving other hydroxyl groups unoxidized. Operating under mild conditions (30–35°C, pH 5.5–6.5), it yields gluconic acid with purity >99% and no residual chemical oxidants.
(III) Electrochemical Oxidation Mechanism: Electron Transfer via Anodic Oxidation
Electrochemical oxidation is an emerging green technology that oxidizes glucose on the electrode surface by applying a voltage, eliminating the need for additional oxidants. Its core lies in "electron transfer at the electrode surface":
1. Glucose molecule adsorption and activation
Glucose molecules adsorb onto the anode surface (e.g., platinum electrode, graphite electrode) via their hydroxyl groups (-OH). Metal ions (e.g., Pt²⁺) on the electrode surface form coordination bonds with the glucose aldehyde group, activating it and causing electron loss (oxidation).
2. Aldehyde oxidation to carboxyl group
The activated aldehyde group loses 2 electrons at the anode and reacts with water molecules on the electrode surface, gradually converting to a carboxyl group. First, an aldonic acid lactone is formed, which then hydrolyzes to gluconic acid.
This mechanism offers the advantage of "no chemical reagent consumption (only electrical energy required)." Reaction rate can be controlled by adjusting voltage (typically 1.2–1.5 V) to avoid over-oxidation, making it suitable for large-scale clean production.
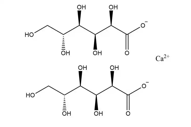
III. Core Step 2: Neutralization of Gluconic Acid with a Calcium Source — Non-Oxidative Ionic Bonding
After gluconic acid is generated, it undergoes a neutralization reaction with a calcium source (e.g., CaCO₃, Ca(OH)₂) to form calcium gluconate. This process involves no redox reactions (no electron transfer) — only ionic bonding between carboxyl groups and calcium ions.
(I) Reaction Mechanism: Proton Dissociation of Carboxyl Groups and Calcium Ion Binding
Gluconic acid (**HOCH₂(CHOH)₄COOH**) is a monoprotic weak acid. Its carboxyl group (-COOH) dissociates in aqueous solution to release H⁺ and gluconate ions (C₆H₁₁O₇⁻). Calcium ions (Ca²⁺), carrying 2 positive charges, bind to 2 gluconate ions to form neutral calcium gluconate ((C₆H₁₁O₇)₂Ca). Two common reaction scenarios are:
1. Reaction with calcium carbonate (industrially preferred for low cost)
2C6H12O7+CaCO3→ (C6H11O7)2Ca+CO2↑+H2O
The carbon dioxide (CO₂) produced is removed by stirring, driving the reaction forward and yielding a calcium gluconate solution.
2. Reaction with calcium hydroxide (high product purity, no gas generation)
2C6H12O7+Ca(OH)2 →C6H11O7)2Ca+2H2O
This acid-base neutralization reaction produces no byproducts, making it suitable for high-purity calcium gluconate production (e.g., pharmaceutical grade).
(II) Reaction Characteristics: Mild and Stoichiometric
The neutralization reaction proceeds at room temperature under neutral conditions without catalysts. Gluconic acid and the calcium source react in a fixed 2:1 molar ratio (2 carboxyl groups bind to 1 Ca²⁺), ensuring high product purity. Solid calcium gluconate is obtained simply through concentration and crystallization.
IV. Key Summary: Oxidation Is the Core and Control Challenge
In the conversion of glucose to calcium gluconate, the oxidation of glucose to gluconic acid is the core step that determines product direction and purity. Key control points include:
1. Oxidation targeting: Precise oxidation of the aldehyde group (-CHO) is required, avoiding oxidation of other hydroxyl groups (e.g., -CH₂OH at C6). This necessitates mild oxidants (e.g., aqueous bromine, GOD) or controlled electrochemical conditions (low voltage).
2. Reaction conditions: Strict control of temperature (25–35°C) and pH (5.0–6.5) is critical — high temperatures may cause glucose decomposition; low pH inhibits enzyme activity (for enzymatic catalysis) or slows oxidation (for chemical oxidation); high pH may induce glucose isomerization (e.g., conversion to fructose).
3. Product purification: Residual oxidants (e.g., Br⁻ from chemical oxidation) or enzymes (e.g., GOD from enzymatic catalysis) must be removed post-oxidation to ensure gluconic acid purity, preventing adverse effects on subsequent neutralization and calcium gluconate quality.
In contrast, the subsequent neutralization reaction is simple and controllable: selecting an appropriate calcium source and controlling the molar ratio enables efficient calcium gluconate production. This two-step "oxidation → neutralization" mechanism is not only a classic route for laboratory calcium gluconate synthesis but also the core chemical principle for large-scale industrial production (e.g., food-grade calcium fortifiers, pharmaceutical-grade calcium supplements).