
Due to the presence of multiple hydroxyl groups (-OH) and carboxylate-calcium ion groups (-COO⁻Ca²⁺) in its molecular structure, calcium gluconate theoretically possesses the potential chemical property of undergoing intramolecular cyclization. The core of this reaction lies in the formation of cyclic ester structures through esterification between hydroxyl groups and carboxyl groups (or their derivatives). However, limited by molecular conformation and reaction conditions, this reaction hardly proceeds spontaneously under conventional conditions and requires specific catalytic or activation conditions to occur. The specific potential characteristics and reaction mechanisms are as follows:
I. Molecular Structure Basis: Prerequisites for Cyclization Reactions
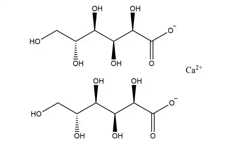
The parent structure of calcium gluconate is gluconic acid, which has a six-carbon straight-chain structure (with a carboxyl group at the C1 position and one hydroxyl group each at the C2–C6 positions). It forms ionic bonds (-COO⁻Ca²⁺) with Ca²⁺ through the negative charge of the carboxylate group (-COO⁻). This structure provides the key functional group foundation for intramolecular cyclization:
Reactive sites: The carboxylate-calcium group (-COO⁻Ca²⁺) at the C1 position serves as an electrophilic reaction site, while the hydroxyl groups (-OH, especially those at the C5 and C6 positions) at the C2–C6 positions act as nucleophilic reaction sites. These groups can form cyclic esters (lactones) through a nucleophilic substitution reaction where "hydroxyl groups attack carboxyl groups."
Molecular conformation adaptability: In solution, gluconic acid molecules can adjust their conformation via single-bond rotation, shortening the spatial distance between the C1 carboxyl group and the C5 (or C6) hydroxyl group (the theoretical bond length meets the cyclization requirement). This forms a stable five-membered ring (C1-C2-C3-C4-C5-O) or six-membered ring (C1-C2-C3-C4-C5-C6-O) conformation, providing spatial feasibility for the cyclization reaction.
II. Potential Types of Intramolecular Cyclization Reactions: Esterification Cyclization as the Core
The intramolecular cyclization of calcium gluconate is centered on hydroxyl-carboxyl esterification cyclization. To overcome the reaction energy barrier, the carboxyl group must first be activated (e.g., converted to a carboxylic anhydride or acyl chloride) or its electrophilicity enhanced under acidic catalysis. There are two main potential reaction pathways:
(I) Lactonization Cyclization Under Acidic Conditions: Formation of Calcium Gluconolactone Precursors
Under strongly acidic conditions (e.g., concentrated H₂SO₄, hydrochloric acid), the carboxylate-calcium bond (-COO⁻Ca²⁺) of calcium gluconate first dissociates into a free carboxyl group (-COOH). The free carboxyl group then undergoes esterification with intramolecular hydroxyl groups to form a lactone—this is the most achievable cyclization pathway:
Reaction process:
Under acidic conditions, -COO⁻Ca²⁺ combines with H⁺ to form -COOH, releasing Ca²⁺.
The C1 -COOH is protonated under acid catalysis (enhancing electrophilicity) and is nucleophilically attacked by the C5 -OH (closest in spatial distance and with the most stable conformation), forming a five-membered ring transition state.
The transition state loses one molecule of H₂O, forming δ-gluconolactone (a five-membered ring lactone structure where C1 and C5 are linked via an oxygen atom).
Reaction characteristics:
Requires activation by strongly acidic conditions (pH < 2) and heating (60–80°C); almost no reaction occurs under normal temperature and neutral conditions.
The generated δ-gluconolactone can recombine with Ca²⁺ to form "calcium gluconolactone," but this product has poor stability and easily hydrolyzes back to calcium gluconate.
(II) Cyclization Assisted by Hydroxyl Oxidation: Formation of Cyclic Structures Involving Ketone/Aldehyde Groups
If a hydroxyl group (e.g., the C6 -OH) of calcium gluconate is first oxidized to an aldehyde group (-CHO) or ketone group (-CO-) using an oxidizing agent (e.g., bromine water, dilute HNO₃), cyclization can be assisted through a "condensation reaction between aldehyde/ketone groups and hydroxyl groups," forming a more stable cyclic hemiacetal/hemiketal structure:
Reaction process:
The C6 -OH is oxidized to -CHO (forming a calcium glucuronate intermediate).
The C1 -COOH (or activated carboxyl group) condenses with the C6 -CHO under acidic conditions, while the C2/C3 -OH participates in cyclization, forming a bicyclic structure containing both ester bonds and hemiacetal bonds.
Reaction characteristics:
Requires two reaction steps ("oxidation-condensation") and harsher conditions (needing both oxidizing agents and acids).
The cyclic product has higher stability than simple lactones and is less prone to hydrolysis. However, due to the complex reaction steps, this pathway is rarely used as the main cyclization route in practical applications.
III. Influencing Factors of Cyclization Reactions: Determining Whether the Reaction Proceeds Spontaneously or Efficiently
The intramolecular cyclization of calcium gluconate is restricted by three factors—"reaction conditions, molecular conformation, and ionic environment"—and hardly occurs under conventional conditions. Targeted regulation is required to promote the reaction:
pH Value
Under neutral/alkaline conditions (e.g., application scenarios of calcium gluconate in food and pharmaceuticals, pH 6–8), the carboxyl group exists in the -COO⁻ form with weak electrophilicity, making it unable to be attacked by hydroxyl groups. The cyclization reaction is completely inhibited.
Strongly acidic conditions (pH < 2) are a prerequisite for the reaction: they protonate the carboxyl group (-COOH) to enhance its electrophilicity, while disrupting some intramolecular hydrogen bonds to facilitate conformation adjustment.
Temperature and Solvent
At normal temperature (25°C), the reaction rate is extremely slow. Heating (60–100°C) is required to increase molecular kinetic energy, shorten the spatial distance between hydroxyl and carboxyl groups, and reduce the reaction energy barrier.
Polar aprotic solvents (e.g., dimethyl sulfoxide, DMSO) can reduce intermolecular hydrogen bonding, enabling calcium gluconate molecules to form cyclized conformations more easily. Compared with aqueous solutions, these solvents significantly improve cyclization efficiency.
Influence of Ca²⁺ Ions
The Ca²⁺ in calcium gluconate forms strong ionic bonds with carboxyl groups, reducing the electrophilicity of carboxyl groups (-COO⁻ is less likely to accept protons due to binding with Ca²⁺).
If a chelating agent (e.g., EDTA) is first added to complex with Ca²⁺ and release free gluconic acid, the cyclization reaction rate can be increased by 3–5 times. This indicates that the presence of Ca²⁺ inhibits cyclization.
IV. Potential Application Value and Limitations: Theoretically Feasible but Practically Limited
Although the intramolecular cyclization of calcium gluconate is theoretically possible, its practical application scenarios are limited due to restrictive reaction conditions and poor product stability. The main potential values and limitations are as follows:
Potential Applications
Pharmaceutical intermediate synthesis: Gluconolactones or bicyclic derivatives generated through cyclization can be used as intermediates for synthesizing antibacterial drugs and calcitonin modulators. The cyclic structure enhances the binding ability of drugs to their targets.
Functional material preparation: Cyclized calcium gluconate derivatives can serve as monomers for polymer polymerization, participating in the preparation of biodegradable polyester materials (e.g., copolymerization with lactic acid) to improve the mechanical properties of the materials.
Limitations
Application scenario conflict: Calcium gluconate is mainly used as a food calcium supplement and pharmaceutical antacid, with most application scenarios under neutral/mild conditions. These cannot meet the strongly acidic and high-temperature requirements of cyclization reactions. Forced cyclization would destroy its original functions (e.g., calcium supplementation activity).
Poor product stability: Even if cyclic lactones are formed, they easily hydrolyze back to calcium gluconate in aqueous solutions or neutral environments, making long-term storage difficult and limiting their application as functional ingredients.
Low economic efficiency: Cyclization reactions require auxiliary conditions such as strong acidity, heating, and chelating agents, resulting in high costs. Compared with the direct synthesis of gluconolactones (e.g., glucose oxidation), cyclization via calcium gluconate has extremely low cost-effectiveness.
Due to the multiple hydroxyl and carboxyl groups in its molecule, calcium gluconate possesses the potential chemical property of undergoing intramolecular cyclization. The core of this process is hydroxyl-carboxyl esterification cyclization under acidic conditions, which can form lactones or complex cyclic structures. However, restricted by the neutral conditions of conventional application scenarios, the inhibitory effect of Ca²⁺, and poor product stability, this reaction hardly proceeds spontaneously in practical fields such as food and pharmaceuticals. It remains mostly in the realm of theoretical research and laboratory synthesis and has not yet become a core application characteristic of calcium gluconate.
Due to the presence of multiple hydroxyl groups (-OH) and carboxylate-calcium ion groups (-COO⁻Ca²⁺) in its molecular structure, calcium gluconate theoretically possesses the potential chemical property of undergoing intramolecular cyclization. The core of this reaction lies in the formation of cyclic ester structures through esterification between hydroxyl groups and carboxyl groups (or their derivatives). However, limited by molecular conformation and reaction conditions, this reaction hardly proceeds spontaneously under conventional conditions and requires specific catalytic or activation conditions to occur. The specific potential characteristics and reaction mechanisms are as follows:
I. Molecular Structure Basis: Prerequisites for Cyclization Reactions
The parent structure of calcium gluconate is gluconic acid, which has a six-carbon straight-chain structure (with a carboxyl group at the C1 position and one hydroxyl group each at the C2–C6 positions). It forms ionic bonds (-COO⁻Ca²⁺) with Ca²⁺ through the negative charge of the carboxylate group (-COO⁻). This structure provides the key functional group foundation for intramolecular cyclization:
Reactive sites: The carboxylate-calcium group (-COO⁻Ca²⁺) at the C1 position serves as an electrophilic reaction site, while the hydroxyl groups (-OH, especially those at the C5 and C6 positions) at the C2–C6 positions act as nucleophilic reaction sites. These groups can form cyclic esters (lactones) through a nucleophilic substitution reaction where "hydroxyl groups attack carboxyl groups."
Molecular conformation adaptability: In solution, gluconic acid molecules can adjust their conformation via single-bond rotation, shortening the spatial distance between the C1 carboxyl group and the C5 (or C6) hydroxyl group (the theoretical bond length meets the cyclization requirement). This forms a stable five-membered ring (C1-C2-C3-C4-C5-O) or six-membered ring (C1-C2-C3-C4-C5-C6-O) conformation, providing spatial feasibility for the cyclization reaction.
II. Potential Types of Intramolecular Cyclization Reactions: Esterification Cyclization as the Core
The intramolecular cyclization of calcium gluconate is centered on hydroxyl-carboxyl esterification cyclization. To overcome the reaction energy barrier, the carboxyl group must first be activated (e.g., converted to a carboxylic anhydride or acyl chloride) or its electrophilicity enhanced under acidic catalysis. There are two main potential reaction pathways:
(I) Lactonization Cyclization Under Acidic Conditions: Formation of Calcium Gluconolactone Precursors
Under strongly acidic conditions (e.g., concentrated H₂SO₄, hydrochloric acid), the carboxylate-calcium bond (-COO⁻Ca²⁺) of calcium gluconate first dissociates into a free carboxyl group (-COOH). The free carboxyl group then undergoes esterification with intramolecular hydroxyl groups to form a lactone—this is the most achievable cyclization pathway:
Reaction process:
Under acidic conditions, -COO⁻Ca²⁺ combines with H⁺ to form -COOH, releasing Ca²⁺.
The C1 -COOH is protonated under acid catalysis (enhancing electrophilicity) and is nucleophilically attacked by the C5 -OH (closest in spatial distance and with the most stable conformation), forming a five-membered ring transition state.
The transition state loses one molecule of H₂O, forming δ-gluconolactone (a five-membered ring lactone structure where C1 and C5 are linked via an oxygen atom).
Reaction characteristics:
Requires activation by strongly acidic conditions (pH < 2) and heating (60–80°C); almost no reaction occurs under normal temperature and neutral conditions.
The generated δ-gluconolactone can recombine with Ca²⁺ to form "calcium gluconolactone," but this product has poor stability and easily hydrolyzes back to calcium gluconate.
(II) Cyclization Assisted by Hydroxyl Oxidation: Formation of Cyclic Structures Involving Ketone/Aldehyde Groups
If a hydroxyl group (e.g., the C6 -OH) of calcium gluconate is first oxidized to an aldehyde group (-CHO) or ketone group (-CO-) using an oxidizing agent (e.g., bromine water, dilute HNO₃), cyclization can be assisted through a "condensation reaction between aldehyde/ketone groups and hydroxyl groups," forming a more stable cyclic hemiacetal/hemiketal structure:
Reaction process:
The C6 -OH is oxidized to -CHO (forming a calcium glucuronate intermediate).
The C1 -COOH (or activated carboxyl group) condenses with the C6 -CHO under acidic conditions, while the C2/C3 -OH participates in cyclization, forming a bicyclic structure containing both ester bonds and hemiacetal bonds.
Reaction characteristics:
Requires two reaction steps ("oxidation-condensation") and harsher conditions (needing both oxidizing agents and acids).
The cyclic product has higher stability than simple lactones and is less prone to hydrolysis. However, due to the complex reaction steps, this pathway is rarely used as the main cyclization route in practical applications.
III. Influencing Factors of Cyclization Reactions: Determining Whether the Reaction Proceeds Spontaneously or Efficiently
The intramolecular cyclization of calcium gluconate is restricted by three factors—"reaction conditions, molecular conformation, and ionic environment"—and hardly occurs under conventional conditions. Targeted regulation is required to promote the reaction:
pH Value
Under neutral/alkaline conditions (e.g., application scenarios of calcium gluconate in food and pharmaceuticals, pH 6–8), the carboxyl group exists in the -COO⁻ form with weak electrophilicity, making it unable to be attacked by hydroxyl groups. The cyclization reaction is completely inhibited.
Strongly acidic conditions (pH < 2) are a prerequisite for the reaction: they protonate the carboxyl group (-COOH) to enhance its electrophilicity, while disrupting some intramolecular hydrogen bonds to facilitate conformation adjustment.
Temperature and Solvent
At normal temperature (25°C), the reaction rate is extremely slow. Heating (60–100°C) is required to increase molecular kinetic energy, shorten the spatial distance between hydroxyl and carboxyl groups, and reduce the reaction energy barrier.
Polar aprotic solvents (e.g., dimethyl sulfoxide, DMSO) can reduce intermolecular hydrogen bonding, enabling calcium gluconate molecules to form cyclized conformations more easily. Compared with aqueous solutions, these solvents significantly improve cyclization efficiency.
Influence of Ca²⁺ Ions
The Ca²⁺ in calcium gluconate forms strong ionic bonds with carboxyl groups, reducing the electrophilicity of carboxyl groups (-COO⁻ is less likely to accept protons due to binding with Ca²⁺).
If a chelating agent (e.g., EDTA) is first added to complex with Ca²⁺ and release free gluconic acid, the cyclization reaction rate can be increased by 3–5 times. This indicates that the presence of Ca²⁺ inhibits cyclization.
IV. Potential Application Value and Limitations: Theoretically Feasible but Practically Limited
Although the intramolecular cyclization of calcium gluconate is theoretically possible, its practical application scenarios are limited due to restrictive reaction conditions and poor product stability. The main potential values and limitations are as follows:
Potential Applications
Pharmaceutical intermediate synthesis: Gluconolactones or bicyclic derivatives generated through cyclization can be used as intermediates for synthesizing antibacterial drugs and calcitonin modulators. The cyclic structure enhances the binding ability of drugs to their targets.
Functional material preparation: Cyclized calcium gluconate derivatives can serve as monomers for polymer polymerization, participating in the preparation of biodegradable polyester materials (e.g., copolymerization with lactic acid) to improve the mechanical properties of the materials.
Limitations
Application scenario conflict: Calcium gluconate is mainly used as a food calcium supplement and pharmaceutical antacid, with most application scenarios under neutral/mild conditions. These cannot meet the strongly acidic and high-temperature requirements of cyclization reactions. Forced cyclization would destroy its original functions (e.g., calcium supplementation activity).
Poor product stability: Even if cyclic lactones are formed, they easily hydrolyze back to calcium gluconate in aqueous solutions or neutral environments, making long-term storage difficult and limiting their application as functional ingredients.
Low economic efficiency: Cyclization reactions require auxiliary conditions such as strong acidity, heating, and chelating agents, resulting in high costs. Compared with the direct synthesis of gluconolactones (e.g., glucose oxidation), cyclization via calcium gluconate has extremely low cost-effectiveness.
Due to the multiple hydroxyl and carboxyl groups in its molecule, calcium gluconate possesses the potential chemical property of undergoing intramolecular cyclization. The core of this process is hydroxyl-carboxyl esterification cyclization under acidic conditions, which can form lactones or complex cyclic structures. However, restricted by the neutral conditions of conventional application scenarios, the inhibitory effect of Ca²⁺, and poor product stability, this reaction hardly proceeds spontaneously in practical fields such as food and pharmaceuticals. It remains mostly in the realm of theoretical research and laboratory synthesis and has not yet become a core application characteristic of calcium gluconate.
 
	   
	 
	 
	 
	 
	 
	 
	