
Calcium gluconate is a mineral supplement commonly used to treat or prevent calcium deficiencies in the body. There are some of its properties.
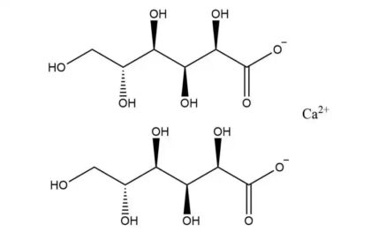
Chemical formula: C12H22CaO14
Molar mass: 430.37 g/mol
Appearance: calcium gluconate is a white to off-white, crystalline powder or granules.
Solubility: Calcium gluconate is highly soluble in water.
It contains approximately 9.3% elemental calcium by mass.This means that for every 1000 mg of calcium gluconate, around 93 mg is actual calcium.
Calcium gluconate is used in medicine to treat conditions caused by low blood calcium levels, such as hypocalcemia, calcium channel blocker overdose, and hyperkalemia.It may also be administered to supplement calcium intake in individuals with calcium deficiencies or to counteract the effects of certain medications.
It can be taken orally as tablets or solutions, or it can be administered intravenously (IV) under medical supervision.
Calcium gluconate is generally considered safe when used as directed.However, it may have side effects, including nausea, vomiting, constipation, and in rare cases, allergic reactions.It is important to follow the recommended dosage and consult a healthcare professional before using calcium gluconate.
Calcium gluconate can interact with certain medications, such as tetracycline antibiotics and iron supplements.It is advisable to inform our healthcare provider about all the medications we are taking to avoid any potential interactions.
While calcium gluconate is a supplement commonly used to address calcium deficiencies, it should not be used as a substitute for a balanced diet or as a self-diagnosis tool.